Hessian Estimates on Dirichlet and Neumann eigenfunctions of Laplacian
by Li-Juan Cheng, Anton Thalmaier and Feng-Yu Wang



Int. Math. Res. Not. IMRN 2024, no. 21, 13563-13585 

https://doi.org/10.1093/imrn/rnae207

The paper is available here:

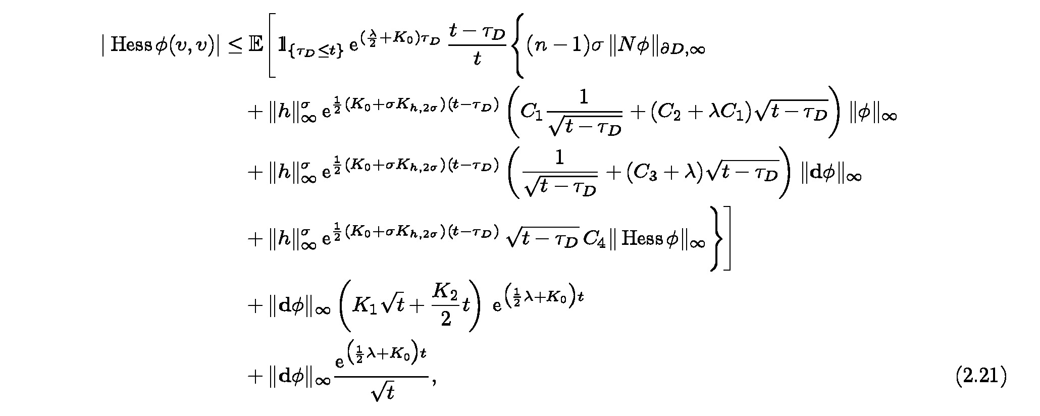
Formula (2.21) contains a mismatch of a bracket. It reads as here.


Li-Juan Cheng
chenglj@zjut.edu.cn
Anton Thalmaier
anton.thalmaier@uni.lu
Feng-Yu Wang
wangfy@tju.edu.cn

Back to Homepage